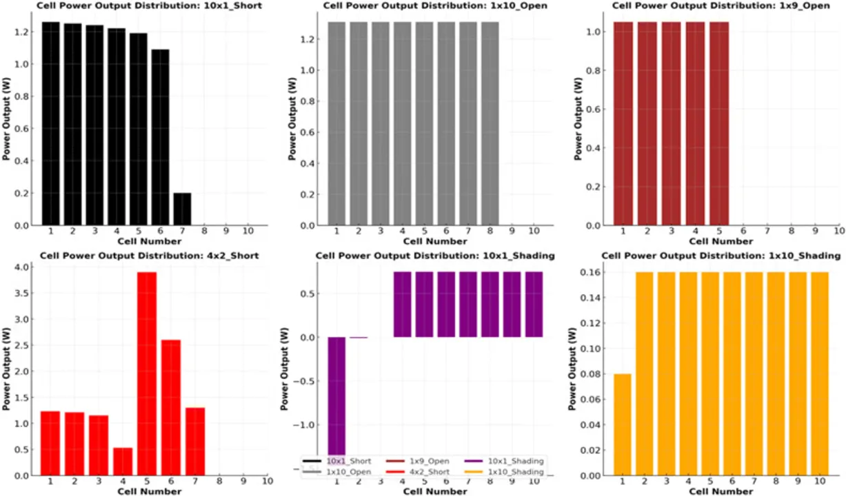
According to a recent research paper from Science Direct, the k-Nearest Neighbor (k-NN) algorithm can enhance the reliability and accuracy of PV cell simulations. The study classifies various operational states of PV modules, such as partial shading, open, and short circuit conditions, and predicts specific performance metrics using regression-based analysis. The k-NN method, tested on a published dataset of different PV configurations, achieved a 99.2% accuracy and F1 score. Additionally, the regression model demonstrated an RMSE of 0.036 and an R2 value of unity, highlighting its effectiveness in predicting operational parameters. These findings underscore the potential of machine learning techniques, like k-NN, to significantly advance PV technology, improve operational efficiency, and emphasize the importance of simulation-based data before real-world applications.
Enhancing PV module performance using k-NN algorithm
According to a report, k-NN enhances PV module performance and diagnostics with 99.2% accuracy. Learn more about this innovative approach here.
/solarbytes/media/post_attachments/wp-content/uploads/2024/07/2024-07-23-Knn-gks.jpg)
Advertisment
/solarbytes/media/agency_attachments/2025/01/13/2025-01-13t112055287z-solarbytes.png)
/solarbytes/media/agency_attachments/2025/01/13/2025-01-13t112030439z-solarbytes.png)